LA016 Curvas de utilización red aérea aislada de media tensión
- Contenido
1. GENERALIDADES
Para el uso de esta norma se considera que las condiciones de variación del nivel del terreno son despreciables.
Las curvas que se mencionan en esta norma corresponden a curvas de utilización para estructuras del tipo suspensión que no requieren uso de templetes. Para otros tipos de disposiciones diferentes de esta condición se debe aplicar la norma LA010-1 Utilización Postes y Templetes para Redes Aéreas Aisladas de 15 kV y 34.5 kV.
Se debe tener en cuenta que estas curvas están diseñadas para el uso de estructuras solo con red de red de media tensión aérea aislada sin redes telemáticas y sin redes de baja tensión . Si en el diseño se proyecta a futuro compartir redes de baja tensión o telemáticas se deberá cambiar el poste acorde a lo indicado en la norma LA010-1 .
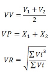
En el siguiente esquema se puede observar la definición de las variables, vano peso (VP), vano viento (VV) y, vano regulador (VR); así mismo la relación de estas con el terreno para el cual realiza el diseño.

En donde:

VR: Vano regulador. El vano regulador debe medir entre retenciones.
R: Estructura de ángulo (Retención)
S: Estructura de alineamiento (Suspensión)
Para identificar las flecha s y cargas de tendido ver la norma ( LAR017 ), flecha s y cargas para tendido de red aérea aislada de media tensión .

CABLE - 15 KV 70-120 mm 2 EN CIRCUITO SENCILLO SIN TELEMÁTICOS NI BAJA TENSIÓN , POSTES EN SUSPENSIÓN SIN TEMPLETES

CABLE - 15 kV 70-120 mm² EN CIRCUITO SENCILLO SIN TELEMÁTICOS NI BAJA TENSIÓN , POSTES EN SUSPENSIÓN SIN TEMPLETES.
DATOS ADICIONALES
Revisión #
1
Fecha de entrada en vigencia
Actividad de los usuarios
Para hacer comentarios debe iniciar sesión o registrarse aquí