LAR274-1 Utilización de postes y templetes estructura de retención horizontal en tres postes con cruceta de seis metros LAR274

  • Contenido
FIG 1. ESTRUCTURA DE RETENCIÓN TRES POSTES CON CRUCETA DE SEIS METROS


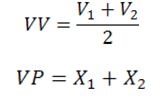
En la figura 2 se puede observar la definición de las variables, vano peso (Vp), vano viento (VV), vano regulador y la relación directa de estas con el terreno de influencia para el diseño.
FIG 2. TIPOS DE VANOS

En donde:

VV: Vano Viento
VP: Vano Peso

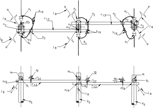
El siguiente diagrama es complementario a la Figura 1, donde se muestra la disposición de los conductores y los templetes en la estructura de retención horizontal en tres postes. Los templetes normalizados están de color azul y de línea continua, los conductores están de color negro y de línea punteada.
FIG 3. DIAGRAMA ESQUEMÁTICO FIG 1

En las alternativas se identifican postes en concreto, metálicos y en fibra de vidrio.

Los conductores típicos utilizados para esta estructura son:
  • Hasta 2/0 AWG Quail
  • Mayor a 2/0 AWG Waxwing y hasta 266.8 AWG
  • Semi aislado hasta a 63 mm2
  • Semi aislado mayor a 63 mm2 y hasta 100 mm2

Para este tipo de estructura contempla los siguiente parámetros:
  • Vano peso
  • Angulo deflexión,
  • Carga de diseño
  • Templete normalizado
  • Templete estabilizado

Los postes P5-1, P5-2, P5-3 deben tener el concepto “Cumple” de color verde, lo que significa que no sobrepasa el 40% de la carga de diseño. Los templetes nombrados como J8-X están diseñados con un valor del 50% de la carga de diseño del templete deben tener el concepto “Cumple” en color verde.

Si alguno de los parámetros tienen al menos un valor de “No cumple” que se representa en color amarillo, dicha configuración no se podrá construir y se debe optar por la opción de estructura estabilizada o validar la siguiente carga superior de diseño del poste.

En caso de requerirse el uso de cables de guarda debido al nivel ceráuneo, en la presente norma se contempla la utilización de bayoneta para la instalación de cable de guarda siempre y cuando cumpla con las tablas de tendido indicas en la norma LAR-017.

Este diseño solo aplica para vanos pesos positivos; para vanos pesos negativos se debe realizar un diseño específico para el proyecto.

POSTE CONCRETO
  • LAR 274 TEMPLETE NORMALIZADO- CONDUCTOR HASTA 2/0 AWG QUAIL
  • LAR 274 TEMPLETE NORMALIZADO - CONDUCTOR WAXWING MAYOR A 2/0 Y HASTA 266.8 AWG
  • LAR 274 TEMPLETE NORMALIZADO- CONDUCTOR SEMIAISLADO HASTA 63mm2
  • LAR 274 TEMPLETE NORMALIZADO- CONDUCTOR SEMIAISLADO MAYOR A 63 mm2 Y HASTA 100mm2


POSTE METÁLICO
  • LAR 274 TEMPLETE NORMALIZADO- CONDUCTOR HASTA 2/0 AWG QUAIL
  • LAR 274 TEMPLETE NORMALIZADO - CONDUCTOR WAXWING MAYOR A 2/0 Y HASTA 266.8 AWG
  • LAR 274 TEMPLETE NORMALIZADO- CONDUCTOR SEMIAISLADO HASTA 63mm2
  • LAR 274 TEMPLETE NORMALIZADO- CONDUCTOR SEMIAISLADO MAYOR A 63 mm2 Y HASTA 100mm2



POSTE DE FIBRA
  • LAR 274 TEMPLETE NORMALIZADO- CONDUCTOR HASTA 2/0 AWG QUAIL
  • LAR 274 TEMPLETE NORMALIZADO - CONDUCTOR WAXWING MAYOR A 2/0 Y HASTA 266.8 AWG
  • LAR 274 TEMPLETE NORMALIZADO- CONDUCTOR SEMIAISLADO HASTA 63mm2
  • LAR 274 TEMPLETE NORMALIZADO- CONDUCTOR SEMIAISLADO MAYOR A 63 mm2 Y HASTA 100mm2


Para optimizar el uso de potería se tiene la alternativa del uso de templetes de vientos o templetes estabilizadores como se observa por ejemplo en la Figura 4 de color rojo de línea continua, a un ángulo de 60° con respecto a la horizontal
FIG 4. DIAGRAMA ESQUEMÁTICO TEMPLETE ESTABILIZADOR FIG 1


POSTE CONCRETO
  • LAR 274 TEMPLETE NORMALIZADO - CONDUCTOR HASTA 2/0 AWG QUAIL
  • LAR 274 TEMPLETE NORMALIZADO - CONDUCTOR WAXWING MAYOR A 2/0 Y HASTA 266.8 AWG
  • LAR 274 TEMPLETE NORMALIZADO - CONDUCTOR SEMIAISLADO HASTA 63 mm2
  • LAR 274 TEMPLETE NORMALIZADO - CONDUCTOR SEMIAISLADO MAYOR A 63 mm2 Y HASTA 100mm2


POSTE METÁLICO
  • LAR 274 TEMPLETE NORMALIZADO - CONDUCTOR HASTA 2/0 AWG QUAIL
  • LAR 274 TEMPLETE NORMALIZADO - CONDUCTOR WAXWING MAYOR A 2/0 Y HASTA 266.8 AWG
  • LAR 274 TEMPLETE NORMALIZADO - CONDUCTOR SEMIAISLADO HASTA 63 mm2
  • LAR 274 TEMPLETE NORMALIZADO - CONDUCTOR SEMIAISLADO MAYOR A 63 mm2 Y HASTA 100 mm2


POSTE DE FIBRA
  • LAR 274 TEMPLETE NORMALIZADO - CONDUCTOR HASTA 2/0 AWG QUAIL
  • LAR 274 TEMPLETE NORMALIZADO - CONDUCTOR WAXWING MAYOR A 2/0 Y HASTA 266.8 AWG
  • LAR 274 TEMPLETE NORMALIZADO - CONDUCTOR SEMIAISLADO HASTA 63 mm2
  • LAR 274 TEMPLETE NORMALIZADO - CONDUCTOR SEMIAISLADO MAYOR A 63 mm2 Y HASTA 100 mm2


DATOS ADICIONALES
Revisión #

LAR 274-1

Fecha de entrada en vigencia

HERRAMIENTAS
RELACIONADAS

Actividad de los usuarios

Estado del comentario