LAR017 Flechas y cargas de tendido para cables
- Contenido
1. GENERALIDADES
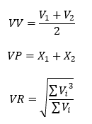
En el siguiente esquema se puede observar la definición de las variables, vano peso (Vp), vano viento (VV), y la relación directa de estas con el terreno de influencia para el diseño.
Las tablas mencionadas en esta norma corresponden a los cables indicados en las especificaciones

En donde: 
VP: Vano peso.
VV: Vano viento
VR: Vano regulador
R: Estructura de ángulo (Retención)
S: Estructura de alineamiento (Suspensión)
Condiciones de tensiones de conductores
EDS: Every Day Stress, es la tensión que experimenta diariamente un conductor después de su tensionado, de acuerdo a las condiciones de carga y de temperatura.
Creep: Es la condición de elongación permanente del conductor debido a las fluctuaciones de temperatura en un periodo de tiempo.
Load: Es la condición de elongación permanente del conductor debida a una carga pesada como hielo o viento que resulta en una elongación permanente.
Initial: Es la condición inicial de tensionado de un conductor antes de estar sometido a alguna condición de Creep o Load.
Para el cálculo de las flechas de los conductores se evaluaron las condiciones de EDS, CREEP y LOAD en el rango de temperaturas del área de influencia de ENEL.
Las flechas de los distintos circuitos tanto de media como de baja tensión ; deberán estar en cumplimiento con las distancias mínimas de seguridad indicadas en el RETIE Articulo 13. Distancias de seguridad .
Las tablas mencionadas en esta norma corresponden a los cables para las redes desnuda, semi aislada y aislada, indicados en las especificaciones técnicas
Las tensiones que se presentan en las siguientes tablas son las condiciones iniciales de carga del conductor al momento de realizar el tendido de acuerdo a la condición de temperatura ambiente que se tenga en el momento de realizar el tensionado y el vano regulador que se tenga.
Se presentan las tensiones para el vano regulador (VR), medido entre las estructuras de retención. 
Nota: Las tensiones presentadas en la tabla se aplican al conductor mensajero, el conductor de fase semi asilado no se le aplica tensión .
Nota: Las tensiones presentadas en la tabla se aplican al conductor mensajero, el conductor de fase semi asilado no se le aplica tensión . 
Nota: Las tensiones presentadas en la tabla se aplican al conductor mensajero, el conductor de fase semi asilado no se le aplica tensión . 
Nota: Las tensiones presentadas en la tabla se aplican al conductor mensajero, el conductor de fase semi asilado no se le aplica tensión . 
Nota: Las tensiones presentadas en la tabla se aplican al conductor mensajero, el conductor de fase semi asilado no se le aplica tensión . 










































DATOS ADICIONALES
Revisión #
2
Fecha de entrada en vigencia
Actividad de los usuarios
Para hacer comentarios debe iniciar sesión o registrarse aquí