CTS557 Centros de transformación industriales de 34,5 kV. Cálculo malla de puesta a tierra

  • Contenido


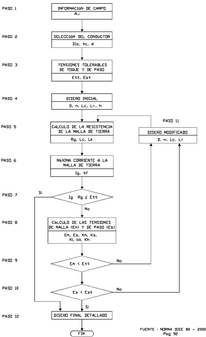
DIAGRAMA DE FLUJO PARA CÁLCULO DE MALLA DE PUESTA A TIERRA

CALCULO DE LA MALLA DE PUESTA A TIERRA

De acuerdo con la versión de la IEEE C 62924, se presentan las definiciones, procedimientos y pasos que sirven para programar el cálculo de la malla, en el lenguaje de computador que prefiera el diseñador.
El procedimiento es el siguiente :

PASO 1 : INFORMACIÓN DE CAMPO

Área del lote : A
Resistividad del terreno : Rho

PASO 2 : SELECCIÓN DEL CONDUCTOR


A : Sección transversal del conductor (mm 2 ).

I : Corriente simétrica de falla que va a la malla (kA rms).

T m : Temperatura máxima permisible (°C ).

T a : Temperatura ambiente.

T r : Temperatura de referencia para constantes de diferentes materiales (°C ).

Alpha 0 : Coeficiente de resistencia térmica a 0°C.

Alpha r : Coeficiente de resistencia térmica a la temperatura de referencia T r .

Rho r : Resistividad del conductor de la malla de tierra a la temperatura de referencia T r . Para el conductor de cobre : 1/56 ( µ Ohmios/cm )

K o : Coeficiente inverso de la resistencia térmica : 1/ Alpha 0 ó (1/ Alpha r ) - T r .

T c : Duración de la corriente de falla (seg.). (Normalmente de toma 0.5 seg).

TCAP : Factor de capacidad térmica, de la tabla 1 página 66 de la IEEE 80 - 1986 (J/cm 3 /°C)

TABLA 1 CONSTANTES DE MATERIALES (IEEE 80 -1986, pag 66)
CONDUCTOR CONDUCTIVIDAD Alpha r (20 ° c) K 0 (0 ° C) TEMPERATURA DE FUSION Rho Alpha r (20 ° C) (µ Ohmios/cm) TCAP (J/cm 3 / ° C)
De cobre 97% 0,00381 242 1 084 1,7774 3,422

PASO 3 . TENSIONES TOLERABLES DE TOQUE (Ett) Y DE PASO (Est)

Est = E step 70 = (1000 + 6 C s (h s ,k) Rho s ) 0,157/Raíz cuadrada de ts (V)
Est = E touch 70 = (1000 + 1.5 C s (h s ,k) Rho s ) 0,157/Raíz cuadrada de ts (V)

C S : Factor de reducción para disminuir el valor nominal de la resistividad de la capa superficial ( grava) ; es función de h s y k .

h s : Profundidad de la capa superficial (grava) (m)

K : Factor de reflexión K =( Rho - Rho s )/( Rho + Rho s )

Rho : Resistividad del terreno de la subestación (Ohmios-m)

Rho s : Resistividad de la capa superficial (grava), cuando se utilice. (Ohmios-m)

C s : Puede tomar los siguientes valores :

C s =1 Para terrenos sin grava o con resistividad similar a la grava
C s <1 Para terrenos con grava y calculado así :



n : Numero de conductores en paralelo en una dirección.
ts : Duración de la falla en segundos. Normalmente se toma 0,5 segundos.

También se puede seleccionar de la figura 8 página 41 de la Norma IEEE C 62924.

PASO 4 : DISEÑO INICIAL

De acuerdo con el área de la subestación se escoge:

D : Separación entre conductores paralelos (m)
n : Número de conductores en una dirección.
L : Longitud total de la malla de tierra que incluye el conductor y las varillas (m)
h : Profundidad de instalación de la malla (m)

PASO 5 : CÁLCULO DE LA RESISTENCIA DE LA MALLA A TIERRA

Rg : Resistencia de la malla de tierra (Ohmios)
Rho : Resistividad promedio del terreno (Ohmios.m)
Lc : Longitud del conductor de la malla (m)
Lr : Longitud total de las varillas (m)
L : Longitud total de la malla de tierra que incluye el conductor y las varillas (m) (Lc + Lr)
A : Área ocupada por la malla (m 2 )
h : Profundidad de instalación de la malla (m)

Para mallas instaladas a menos de 250 mm de profundidad, y

Para mallas instaladas entre 250 y 2 500 mm de profundidad.

PASO 6 : MÁXIMA CORRIENTE A LA MALLA DE TIERRA

Cálculo simplificado de la corriente de falla a tierra monofásica

I 0 = E/(X 1 + X 2 + X 0 )

I 0 : Corriente de falla simétrica eficaz de secuencia cero ( A)
E : Tensión fase neutro (V)
X 1 : Reactancia de secuencia positiva del sistema , calculada en el punto de falla (Ohmios/ Fase)
X 2 : Reactancia de secuencia negativa del sistema , calculada en el punto de falla (Ohmios/Fase)
X 0 : Reactancia de secuencia cero del sistema , calculada en el punto de falla (Ohmios/Fase)

I g = S f (3 I 0 )

I g : Corriente simétrica eficaz que fluye a la malla (A)
S f : Factor de división entre la corriente de falla a tierra y la distribución de la corriente que se va a tierra por la malla.

I G = C p .D f .I g

D f : Factor de disminución de la duración de la falla
C p : Factor de proyección del sistema por aumento de las corrientes de la falla (A)
I G : Corriente máxima a la malla (A)

PASO 7 :COMPARAR LA ELEVACIÓN MÁXIMA DE TENSIÓN (GRP = I G Rg) CON LA TENSIÓN TOLERABLE DE TOQUE

Si la elevación máxima de tensión (GRP) es menor que la tensión tolerable de toque, no es necesario realizar más análisis.

PASO 8 : CALCULAR LAS TENSIONES DE MALLA (Em) Y DE PASO (Es)

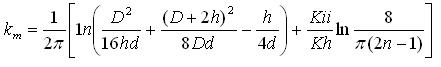
Em = RhoKm Ki I G /L

Kii : Para mallas con varilla de tierra en el perímetro, en las esquinas o dentro del perímetro.

Para mallas sin varillas o con pocas varillas no localizadas en las esquinas o en el perímetro.

h 0 : 1 m ( profundidad de instalación de la malla, utilizada como referencia )

Em : Tensión de malla (V)

Km : Factor de espaciamiento

Kii : Factor de corrección que tiene en cuenta la tensión en los extremos

Kh : Factor de corrección que tiene en cuenta la profundidad de enterramiento de la malla

Ki : Factor de corrección por la geometría de la malla

Ki = 0,656 + 0,172 n

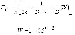
Es = Rho Ks Ki I G / L

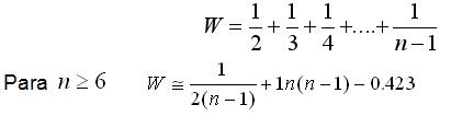
Para mallas instaladas entre 0,25 m < h < 2,5 m. El valor de W es igual a :

Es : Tensión de paso
Ks : Factor de espaciamiento para tensiones de paso.

PASO 9 : COMPARACIÓN ENTRE LA TENSIÓN DE MALLA (Em) Y LA TENSIÓN TOLERABLE DE TOQUE (Ett)

Cuando la tensión de malla (Em) es menor que la tensión tolerable de toque (Ett), se puede seguir al paso 10. En caso contrario el diseño inicial debe ser modificado en el paso 11

PASO 10 : COMPARACIÓN ENTRE LA TENSIÓN DE PASO (Es) Y LA TENSIÓN TOLERABLE DE PASO (Ets)

Cuando la tensión de paso ( Es) calculada es inferior a la tensión tolerable de paso (Ets) se debe realizar el diseño detallado. En caso contrario el diseño inicial debe ser modificado en el paso 11

PASO 11 : MODIFICACIÓN DEL DISEÑO INICIAL

Si las tensiones de paso o de toque calculadas son mayores que las mismas tensiones tolerables, se debe modificar el diseño inicial, tal como escoger menor espaciamiento de las cuadrículas, adicionar varillas de tierra , colocar más conductores, mejorar la resistividad del terreno, etc.

PASO 12 : DISEÑO DETALLADO

Una vez cumplidos los requisitos de tensiones de toque y de paso se debe completar con los conductores necesarios para aterrizar todos los equipos de la malla. Se debe incluir las varillas de tierra necesarias cerca a equipos como pararrayos , neutro de transformadores, etc.. Además incluir los conectores para unir los conductores, varillas etc.
DATOS ADICIONALES
Revisión #

1

Fecha de entrada en vigencia

HERRAMIENTAS
RELACIONADAS

Actividad de los usuarios

Estado del comentario